在往期推文中(熙宁小课-第126期 | PK统计分析—德曲妥珠单抗的QT/QTc间期延长临床研究)我们已经对QT/QTc 间期延长临床研究有过详细的介绍,上次推文中侧重于对C-QTc分析的适用范围和统计结果的解读,对该类型临床研究的开展时间和研究设计未详细讲解。本篇推文将从以GS-4997已发表的首次人体(FIH)试验为案例,结合CDE 10月刚发布的《药物浓度-QTc临床研究技术指导原则》(征求意见稿),共同分析该案例中涉及C-QTc分析的试验设计要点及其能被FDA及EMA豁免TQT研究的依据。
PART 01
GS-4997首次人体试验
GS-4997是由美国Gilead公司研发的一种小分子口服凋亡信号调节激酶1(ASK1)抑制剂。GS-4997针对NASH适应证的临床试验已终止。其在研发期间通过FIH研究中C-QTc分析结果和支持的临床前数据,经FDA和EMA同意不需要专门的 TQT (全面临床QT)研究,授予了豁免。
试验设计
GS-4997 FIH研究是一项随机、双盲、安慰剂对照在健康受试者中开展的研究。其中C-QTc分析中使用的数据是在单次给药剂量递增(SAD)和多次给药剂量递增(MAD)研究中收集的。SAD由5个队列组成,每个队列有8名受试者(6名活性药物,2名安慰剂),MAD由5个队列组成,每组 10名受试者(8名活性药物,2名安慰剂)。SAD和MAD的给药方案分别为单次或每天一次服用1、3、10、30 和100 mg的GS-4997,持续14天,GS-4997在空腹条件下以速释片给药。
所有受试者从给药前1h到给药后12h配备了动态心电图,以便在第一次研究药物给药之前(第-1天;基线)和研究药物给药后(第1天和第7天)连续收集心电图数据。在每次预定的心电图采集时间之前受试者应在仰卧位安静休息至少10min,并保持该姿势直到记录完成。分别在第 -1、1和7天(仅限MAD)给药后约 1、3、6 和 12 小时,每个时间点采集三份心电图数据。第-1天的心电图采集时间与第1 天给药后采集时间匹配。
分析中使用的心电图是在预定的时间点从每个受试者的单导联(可能的情况下2导联 )中提取的,并由具有美国内科医学委员会内科和心血管疾病认证的持证心脏病专家集中阅读。给定受试者的所有心电图都分配给一名专家手动读取。中心实验室的专家读取心电图时对时间点和治疗分组不知情。评估数据包括PR 、 QRS 、 QT 、 QTcF和心率。QTcF使用的是每个采样点读取的三份平均 RR 间期计算的。
除了其他预先指定的时间点外,还在上述所有时间点收集药代动力学数据。通过经验证的 LC/MS/MS 测定GS-4997 和代谢物A的血浆浓度。
心电图数据质量
研究中QTcF的受试者内方差估计(41.0 msec2)和三次ECG读数(每分钟4次)中心率值的最大差异中位数与四个吉利德之前发起的TQT研究结果相当(表1)。表明研究中的心电图质量高。
研究未观察到PR、QRS、QT 和 QTcF间期和心室率相对于基线的临床相关平均变化;没有受试者出现治疗中出现的 QTcF间期≥480 、 PR间期≥220 ms或 QRS 间期≥120 ms。
表1 QTcF和心率的变异性

注:95% CI,95% 置信区间;FIH,首次人体;TQT,全面临床QT研究
a) 使用混合模型估计三次重复读数后QTcF的变异性,将三个QTcF值作为因变量;治疗组、时间点、性别、治疗组和时间点的交互作用作为固定效应;受试者和时间点嵌套在受试者中作为随机效应;
b) 计算每个受试者的每个时间点三份的心率读数之间最大值和最小值之差的中位数。
模型探索性分析
● 线性C-QTc关系

图1 GS-4997浓度(a)和代谢物A浓度(b)(1、3、10、30和100 mg)与∆QTcF (较基线变化QTcF)的线性评估
注:LOESS曲线拟合(实线)和95% CI(虚线)
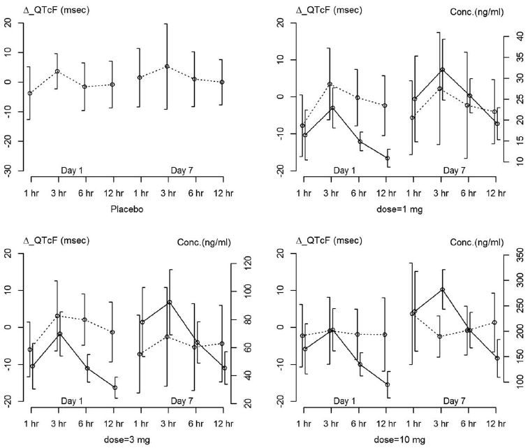
●GS-4997/代谢物A浓度和∆QTcF与时间的关系——考察迟滞效应


图2 ∆QTcF值(虚线)和GS-4997浓度(实线)在每个剂量水平下随时间和按天绘制
注:SAD数据与MAD第一天数据相结合


图3 ∆QTcF值(虚线)和代谢物A浓度(实线)在每个剂量水平下随时间和按天绘制
根据图1的探索性分析显示ΔQTcF与GS-4997或代谢物 A 浓度关系无明确的非线性指示。GS-4997/代谢物A浓度和 ΔQTcF与时间的关系图(图2和3)显示没有滞后的证据。因此,线性混合效应模型适合该研究的C-QTc分析。
模型预测结果
治疗剂量和超治疗剂量下GS-4997和代谢物A预测的∆∆QTcF以及双侧90% CI如表2所示(预测的稳态下每日一次给药18mg GS-4997的Cmax值以及观测的每天给药100 mg GS-4997第7天的Cmax几何平均值)。∆∆QTcF 的90%CI上限在治疗和超治疗浓度下,GS-4997(分别为4.63和7.92 ms)和代谢物A(分别为4.94和7.36 ms)均<10 ms。在该研究评估的所有剂量水平下,GS-4997和代谢物A的90% CI上限均<10ms(表3)。
此外,估计的斜率(90%CI来自bootstrap)不显著,90%CI的下限小于0,GS-4997为(0.0009 (-0.0007,0.0024)ms /ng/mL,代谢物A为0.0002 (-0.0004,0.0007)ms / ng/mL)。预测的中位数∆∆QTcF和90% CI的GS-4997和代谢物A浓度的评估如图4所示。
表2 GS-4997 和代谢物 A峰浓度下∆∆QTcF的预测值及双侧 90%CI

注:90% CI,90% 置信区间;∆∆QTcF,安慰剂校正的∆QTcF
a) 使用semi-compartmental modeling模拟稳态下每天一次口服18mg GS-4997的Cmax;
b) 每天口服一次100 mgGS-4997,持续 7 天的几何平均Cmax观测值。
表3 GS-4997和代谢物A的几何平均Cmax下ΔΔQTcF的点估计和双侧90% CI


图4 不同GS-4997 (a)和代谢物A(b)浓度下预测
的∆∆QTcF及其90%CI
注:水平虚线表示10ms的参考线。虚线表示各浓度下∆∆QTcF预测的中位数。灰色阴影区域表示预测∆∆QTcF的90%CI。蓝色内部是GS-4997和代谢物A治疗浓度下的90%CI,红色区间是GS-4997和代谢物A超治疗浓度下的90%CI
模型评价
构建了带有局部加权散点图平滑 (LOESS) 趋势线的条件加权残差 (CWRES)浓度图,以评估GS-4997和代谢物A模型的拟合优度。GS-4997浓度与CWRES的关系用 LOESS趋势线绘制(图 5A)。大多数CWRES在平均 CWRES的两个标准差 (SD) 范围内(即零),并且 LOESS线没有显示系统趋势,表明模型拟合良好。同样,绘制了CWRES与代谢物A浓度的关系图,表明模型拟合良好。

图5 模型评估
GS-4997 (a)和代谢物A (b)C-QTc模型的CWRES图
注:实线代表LOESS趋势线,灰色阴影区域代表95% CI
PART 02
CDE《药物浓度-QTc临床研究技术指导原则》
从CDE指导原则和上述案例总结C-QTc设计要点:
表4 CDE指导原则及GS-4997FIH研究中C-QTc分析
替代TQT研究的设计特征

PART 03
替代TQT研究的条件
C-QTc研究作为TQT研究的替代方案,必须同时具备以下三个关键条件:
➢
C-QTc研究的剂量设计应可获得超过高临床暴露量至少2倍的暴露量,此时评估的药物对QT/QTc间期的延长作用,可在保证在无阳性对照时,研究结论的灵敏度和可靠性;
➢
高质量的临床研究设计、方案实施和数据采集,以确保高质量ECG数据。试验和数据质量应符合ICH E14对TQT研究的标准(具体可参见ICH E14 2.2.1 和2.5.1);
➢
对于同一套浓度-效应数据,采用不同基本假设的模型分析可能得出不一致的结果。因此,C-QTc模型化分析方法和关键问题需在建模分析计划中明确和预先设定,以减少分析时的主观性所致的分析结果偏倚。需特别注意区分线性模型和非线性模型的应用前提。
在满足上述条件后,如果获得C-QTc研究阴性结果,且其他心脏安全性风险较低,通常可豁免TQT试验。
针对以上指导原则中提到的豁免条件,GS-4997 FIH研究均满足,关于剂量、研究设计、方案实施、数据采集等方面已在表4进行了汇总,对于混合效应模型的前提在该研究中也进行了探索性分析,包括血药浓度与∆QTcF的迟滞效应考察、血药浓度与ΔQTc的线性关系考察,并且该研究结果为阴性,综上所述,FDA及EMA豁免了该药物的TQT研究。
PART 04
熙宁生物|精翰生物
临床药理服务平台服务方案
熙宁生物|精翰生物临床药理服务平台,在创新药(药物类型包含生物大分子及小分子)的临床药理学服务方面经验丰富。可提供各类型临床药理学服务,包含PK NCA分析、实时分析指导剂量爬坡(SMC会议支持)、临床药理学研究设计、方案撰写、完整数据PK/PD统计分析及CSR的撰写。能够按照CDISC标准进行统计编程,提供符合NMPA、FDA标准的交付成果。平台匹配经验丰富的临床药理人员、统计师、统计编程人员,人员资质满足本推文中提到的C-QTc分析。
参考文献:
[1] 《非抗心律失常药物潜在导致QT/QTc 间期延长和心律失常的临床评价指南》——E14.
[2] 《QT/QTc间期延长及潜在致心律99 失常作用的临床和非临床评价问与答》——ICH E14/S7B.
[3] 《非抗心律失常药物致QT/QTc间期延长及潜在致心律失常作用的临床评价》——ICH E14 Q&As(R3).
[4] Garnett C, Bonate PL, Dang Q, Ferber G, Huang D, Liu J, Mehrotra D, Riley S, Sager P, Tornoe C, Wang Y: Scientific white paper on concentration-QTc modeling. J Pharmacokinet Pharmacodyn 2018, 45(3):383-397.
[5] 《药物浓度-QTc临床研究技术指导原则》(征求意见稿)——国家药品监督管理局药品审评中心.
[6] Nelson CH, Wang L, Fang L, Weng W, Cheng F, Hepner M, Lin J, Garnett C, Ramanathan S. A Quantitative Framework to Evaluate Proarrhythmic Risk in a First-in-Human Study to Support Waiver of a Thorough QT Study. Clin Pharmacol Ther. 2015 Dec;98(6):630-8.